科创板未盈利企业第一股,泽璟制药首发过会
时间:19-10-31 来源:佰傲谷BioValley
科创板未盈利企业第一股,泽璟制药首发过会
10月30日下午,科创板上市委2019年第40次审议会议结果公告显示,苏州泽璟生物制药股份有限公司首发上会获通过,计划融资23.84亿元。

科创板首家未盈利过会企业
苏州泽璟生物制药是科创板上市委过会企业中第一家采用第五套标准的企业,成为科创板和整个A股未盈利企业第一股。
而香港交易所在2018年4月在《主板上市规则》中新增了第十八A章“生物科技公司”以来,已有10家未盈利生物科技企业上市。

截至本招股说明书签署日,公司所有产品均处于研发阶段,尚未开展商业化生产销售,公司产品尚未实现销售收入,公司尚未盈利且存在累计未弥补亏损。2016年度、2017年度、2018年度及2019年1-6月,公司归属于母公司普通股股东的净利润分别为-12,826.79万元、-14,646.84万元、-44,008.90万元和-34,114.84万元,三年半合计亏损超10.5亿元。
根据招股说明书,公司已连续多轮获得多家有医药行业投资经验的机构投资者投资,截至报告期末最近一次投资后的估值约为47.5亿元。如注册上市,市值将达约95.36亿元。

本次发行前,公司实际控制人ZELIN SHENG(盛泽林)、陆惠萍通过直接及间接方式合计控制公司46.8452%的股份;此外盛泽林之妹JACKIE ZEGI SHENG(盛泽琪)持有公司6.8253%股份。本次发行完成后,ZELIN SHENG(盛泽林)、陆惠萍通过直接及间接方式合计控制公司35.134%股份(不含行使超额配售选择权发行的股份),盛泽琪持有5.119%的股份。
盛泽琪曾在安进工作接近20年,2016年和盛泽林之子MIKE C SHENG共同创办GENSUN(璟尚生物),专注于肿瘤免疫双抗和三抗的研发。2018年8月23日泽璟制药以366.02万美元收购了盛泽琪持有的GENSUN21.55%股份,随后在2018年10月15日任命盛泽琪为泽璟制药的首席科学官,盛泽琪于2018年10月29日获股权激励和增资224万美元获得泽璟制药6.8253%股份。
产品线丰富,布局双抗研发
泽璟制药公司拥有精准小分子药物(氘代技术)和复杂重组蛋白新药两个研发及产业化平台,共开展11个主要创新药物的29项在研项目。此外,泽璟制药的研发管线包括两款肿瘤免疫双特异性抗体项目(ZG005、ZG006),由泽璟制药花费2000万美元(含ZG005、ZG006的四个大分子)和大中华区6%销售提成的代价从其控股51%的美国子公司璟尚生物授权获得。

泽璟制药计划募集资金23.84亿元,用于新药研发、新药研发中心建设、营运以及发展储备基金,其中新药研发预计为14.6亿元,占比高达61.2%。
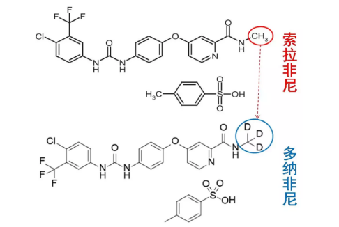
纳非尼,氘代版索拉非尼
泽璟制药主要项目为拜耳索拉非尼的氘代产品多纳非尼,将索拉非尼末端甲基上三个氢原子改成氘原子,在绕过化合物专利的同时相比索拉非尼具有更佳的药物代谢和药代动力学特性,多纳非尼在体内代谢更稳定。目前全球仅一个获批的氘代药物,即由梯瓦(Teva)开发的氘代丁苯那嗪(商品名:Austedo,2017年4月FDA批准)。其研发管线中杰克替尼和奥卡替尼都采用类似的原理由现有药物氘代而来。

多纳非尼通过抑制血管内皮生长因子受体(VEGFR)和血小板源性生长因子受体(PDGFR)等多种酪氨酸激酶受体的活性,阻断肿瘤血管生成,又可通过阻断丝氨酸-苏氨酸激酶(Ras/Raf/MEK/ERK)信号传导通路直接抑制肿瘤细胞增殖,从而发挥双重抑制、多靶点阻断的抗肿瘤作用。此外多纳非尼可通过多条通路改善肿瘤免疫微环境,降低对抗PD-1或抗PD-L1抗体的耐药性,产生协同作用,增强疗效。

已完成的临床前和临床研究表明,在多种晚期肿瘤适应症中,多纳非尼显示出确切的治疗效果和良好的安全性。晚期肝细胞癌Ib期临床(N=104),接受多纳非尼0.2gbid治疗的晚期肝细胞癌患者的中位总生存期(mOS)为12.2月,而全球首个获批一线治疗晚期肝细胞癌的靶向药索拉非尼在亚太注册临床试验ORIENTAL试验公布的0.4gbid剂量下mOS数据为6.5月。
多纳非尼治疗二线以上晚期CRC的Ib期临床试验中的受试者每8周进行1次疗效评价,中期分析数据显示0.2g bid组和0.3g bid组的疾病控制率分别为44.19%和46.67%,两组合并的中位总生存期为240天左右。
在多纳非尼治疗局部晚期/转移性放射性碘难治性分化型甲状腺癌的II期临床试验中,截至2019年3月,多纳非尼0.3g bid治疗组的客观有效率(ORR)达13.3%,24周疾病控制率(DCR)为100%,中位无进展生存期(mPFS)达到15.2月,与目前已上市同机制最佳治疗药物的历史数据类似。
实际控制人简历
ZELIN SHENG(盛泽林)
男,现任公司董事长、总经理,1960年出生,美国国籍,药理学博士;1987年4月毕业于河南医科大学,获硕士学位;1992年12月毕业于美国迈阿密大学药理学专业,获博士学位;2010年9月毕业于中欧国际工商学院,获高层管理人员工商管理硕士学位(EMBA)。
1993年1月至1996年5月于美国加州大学圣地亚哥分校(UCSD)从事博士后研究;1996年6月至2003年3月任美国施贵宝公司资深研究员;2003年4月至2004年6月任上海赛金生物医药有限公司董事;2004年7月至2005年6月任上海奥纳医药技术有限公司执行董事;2005年6月至2009年3月任白鹭医药技术(上海)有限公司首席运营官(COO);2009年3月至今任泽璟有限及公司董事长、总经理。
陆惠萍
女,现任公司董事、常务副总经理,1967年出生,中国国籍,无境外永久居留权,分子遗传学硕士;1989年7月毕业于复旦大学,获学士学位;1992年7月毕业于复旦大学遗传学研究所分子遗传学专业,获硕士学位;1992年8月至1999年7月任第二军医大学分子遗传学教研室讲师。
1999年8月至2001年12月历任上海克隆生物高技术有限公司研发部经理、质量控制部经理、副总工程师;2002年1月至2004年6月任上海赛金生物医药有限公司总经理助理;2004年7月至10月任上海奥纳医药技术有限公司副总经理;2004年11月至2007年9月任上海蓝心医药技术有限公司副总经理;2007年10月至2009年12月任盟科医药技术(上海)有限公司任副总经理;2010年1月至今任泽璟有限及公司常务副总经理、董事。
摘自—佰傲谷BioValley
| 上一篇 | 下一篇 |
|---|---|
| 矿机巨头上演权力的游戏,出局者吴忌寒逆袭反... | 汽后领军企业开思获8000万美元C1轮融资, |